تبدیل لاپلاس ترکیب خطی توابع
تبدیل لاپلاس ترکیب خطی توابع
همانگونه که در درس اول تبدیلات لاپلاس در سایت ریاضیات ایران مشاهده نمودید، محاسبه مستقیم تبدیلات لاپلاس کاری واقعاً پیچیده است. معمولاً هنگام محاسبه واقعی تبدیلات لاپلاس، از جدول تبدیلات لاپلاس استفاده میکنیم. جدولی که شامل تبدیلات لاپلاس توابع عمومی و مهم است و بسیاری از تبدیلات لاپلاس خواسته شده را میتوان از این جدول با اندکی تغییر به دست آورد.
اولین قضیه ای که در محاسبه تبدیلات لاپلاس از آن میتوانیم استفاده کنیم «قضیهی لاپلاس ترکیب خطی دو تابع» است که به صورت زیر بیان می شود:
قضیه تبدیل لاپلاس ترکیب خطی دو تابع: فرض کنید f(t) و g(t) دو تابع باشند که تبدیلات لاپلاس آنها را میدانیم یا در جدول تبدیلات لاپلاس موجود باشد و a و b دو عدد حقیقی دلخواه باشند، در این صورت تبدیلات لاپلاس ترکیب خطی f و g یعنی
به صورت زیر محاسبه میشود:
یا به طور خلاصه اگر
و
باشد، داریم:
![]()
به بیان دیگر، ما نگران ضرب و تقسیم عدد در یک تابع و حتی جمع و تفریق توابع نیستیم. در این حالتها میتوانیم همان عملیات را روی تبدیلات لاپلاس نظیر نیز انجام دهیم. مثالهای زیر را ببینید.
[tabs ] [tab_item title=" مثال اول" ]
مثال 1. تبدیل لاپلاس تابع
را به دست آورید.
حل: برای حل این مثال، میبینیم که تابع f به صورت جمع و تفریق تابعهای
،
،
و تابع ثابت ۹ است. روش حل هر یک از این توابع را در مثال های درس اول تعریف تبدیل لاپلاس در سایت ریاضیات ایران دیدیم (یا میتوانیم از جدول تبدیلات لاپلاس استخراج کنیم). اکنون کافی است با استفاده از قانون ترکیب خطی توابع در تبدیلات لاپلاس استفاده کنیم. پس

[/tab_item] [tab_item title=" مثال دوم" ]
مثال 2. تبدیل لاپلاس تابع
را به دست آورید.
حل: برای حل این تبدیل لاپلاس، نیاز به دانستن لاپلاس های
و
هستیم. این تبدیلات را در مثال های درس تعریف لاپلاس سایت ریاضیات ایران آموختیم. همچنین میتوانیم از جدول تبدیلات لاپلاس استخراج کنیم (فرمول های شماره ۷ و ۸ ). بنابراین با استفاده از قانون ترکیب خطی در تبدیلات لاپلاس خواهیم داشت:
[/tab_item] [tab_item title=" مثال سوم" ]
مثال 3. تبدیل لاپلاس تابع
را به دست آورید.
حل: داریم

[/tab_item] [tab_item title=" مثال چهارم" ]
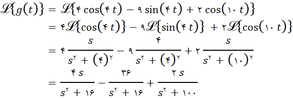
مثال ۴. تبدیل لاپلاس تابع
را به دست آورید.
حل: به سادگی و با استفاده از لاپلاس ترکیب خطی توابع خواهیم داشت:

[/tab_item] [tab_item title="نکته" ]
قطعاً تا کنون متوجه تفاوت تبدیل لاپلاس توابع مثلثاتی معمولی و توابع مثلثاتی هایپربولیک نظیر به نظیر شده اید. همان طور که در مثال ۳ مشاهده کردید در توابع مثلثاتی ساده ، در مخرج عبارت
ولی در توابع هایپربولیک مثلثاتی عبارت
، ظاهر میشود.
[/tab_item] [/tabs]
- بازدید: 13169