تعریف تبدیل لاپلاس با مثال های متنوع
تبدیل لاپلاس
در این درس از سایت ریاضیات ایران، تبدیل لاپلاس را معرفی نموده و با شش مثال مهم و یک تمرین، درس را ادامه می دهیم. قبل از این که به ارائه تعریف لاپلاس بپردازیم، باید تعریف دیگری را به عنوان مقدمه ذکر کنیم.
تعریف1: تابع قطعهای پیوسته
یک تابع، روی یک بازه، قطعهای پیوسته نامیده میشود، اگر بتوان بازه را به تعداد متناهی زیربازه، که تابع روی آن زیربازه های باز، پیوسته است و در نقاط انتهایی هر زیربازه، دارای حد متناهی است، تقسیم کرد.
در زیر نمودار یک تابع قطعهای پیوسته را مشاهده میکنید.

به عبارت دیگر، یک تابع قطعهای پیوسته، تابعی است که در تعداد متناهی نقطه جدا شده است ولی در هیچ جایی به بی نهایت نمیگراید.
اکنون میتوانیم تعریف تبدیل لاپلاس را داشته باشیم:
تعریف تبدیل لاپلاس:
فرض کنید
تابعی قطعهای پیوسته باشد، تبدیل لاپلاسِ
را با
نمایش میدهیم و به صورت زیر تعریف میکنیم:

مرسوم است که لاپلاس تابع
یعنی
را با نماد
نمایش دهند.
در ادامه مطلب شش مثال متنوع و مفید در به دست آوردن تبدیلات لاپلاس ارائه می کنیم که با این مثال ها شما با اصول اولیه کار و محاسبه تبدیلات لاپلاس آشنا می شوید.
[tabs ]
دقت داشته باشید که:
1. تبدیل لاپلاس، واقعاً یک تابع بر حسب متغیر جدید، یعنی s، است و طی عملیات انتگرال گیری، متغیر t از بین میرود.
2. محاسبه هر تبدیل لاپلاس، منجر به حل یک انتگرال ناسره میگردد، کسانی که با انتگرال ناسره آشنایی ندارند، بهتر است ابتدا نگاهی به روش حل انتگرالهای ناسره داشته باشد (البته توضیحات به گونه ای ارائه شده که آن ها نیز به راحتی می توانند موضوع را فراگیرند).
[tab_item title=" مثال اول" ]
مثال 1: ساده ترین تابع، تایع ثابت یک، یعنی
است. می خواهیم تبدیل لاپلاس
یعنی
را محاسبه کنیم. برای محاسبه این تبدیل لاپلاس، کافی است تابع
را در تعریف تبدیل لاپلاس قرار دهیم و انتگرال بگیریم. بنابراین داریم:

این انتگرال، یک انتگرال ناسره است و به صورت زیر آن را حل میکنیم:

این در صورتی برقرار است که
. بنابراین
.
دقت داشته باشید که باید این محدودیت را روی s قرار دهیم تا تبدیل، کامل شود. خاطر نشان میکنیم همهی تبدیلات لاپلاس دارای محدودیت روی s هستند. البته برخی مواقع این محدودیت نادیده گرفته میشود، اما نباید فکر کنیم که محدودیت وجود ندارد.
[/tab_item] [tab_item title=" مثال دوم" ]
مثال ۲: تبدیل لاپلاس تابع
را بدست آورید.
حل: این تابع را در تعریف تبدیل لاپلاس قرار داده و محاسبه میکنیم. داریم:

توجه دارید که در مساوی اول، از خاصیت ضرب عدد ثابت در انتگرال استفاده کردیم. پس

[/tab_item] [tab_item title=" مثال سوم" ]
مثال ۳: تبدیل لاپلاس تابع
را بدست آورید.
حل: مانند مثال های قبل، تابع را در تعریف معادله لاپلاس قرار می دهیم:

اکنون از روش انتگرال گیری جزء به جزء استفاده میکنیم. قرار می دهیم
![]()
بنابراین

لذا داریم:

[/tab_item] [tab_item title=" مثال چهارم" ]
مثال 4: تبدیل لاپلاس تابع
که
را بدست آورید.
حل:

اکنون باید این انتگرال را حل کنیم. مجدداً مانند مثال قبل از روش انتگرال گیری جزء به جزء استفاده میکنیم. قرار میدهیم
![]()
بنابراین

لذا داریم:

اکنون باید مقدار
را محاسبه کنیم، که با همان روش جزء به جزء به سادگی به دست میآید و در دومین مرحله خواهیم داشت:

و اگر به همین ترتیب ادامه دهیم، نهایتاً توان t از بین میرود و خواهیم داشت:

[/tab_item] [tab_item title=" مثال پنجم" ]
مثال 5: تبدیل لاپلاس
را بیابید.
حل: تابع را در تعریف تبدیل لاپلاس قرار میدهیم، داریم:

بنابراین

[/tab_item] [tab_item title=" مثال ششم" ]
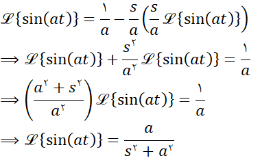
مثال 6: تبدیل لاپلاس تابع
را بدست آورید.
حل: تابع را در تعریف تبدیل لاپلاس قرار میدهیم:

برای استفاده از روش انتگرالگیری جزء به جزء قرار میدهیم:
![]()
بنابراین

لذا داریم:

اکنون با ساده سازی عبارت اول و انتگرالگیری عبارت دوم (مجدداً جزء به جزء) خواهیم داشت:

در نهایت با حدگیری و ساده سازی عبارت ها خواهیم داشت:

بنابراین

[/tab_item] [tab_item title="تمرین" ]
تمرین: اکنون که با روش محاسبه تبدیلات لاپلاس آشنا شدید، تبدیل لاپلاس تابع
را بدست آورید.
[/tab_item] [/tabs]
در درس بعدی از مبحث تبدیلات لاپلاس سایت ریاضیات ایران، جدول تبدیلات لاپلاس را ارائه خواهیم کرد. با ما همراه باشید.
ریاضی, معادلات دیفرانسیل, لاپلاس
- بازدید: 32631