Tehran,Iran
سایت ریاضیات ایران - مقطع دانشگاهی

قضیه وجود و یکتایی جواب مساله اولیه

به نام خدا

الـهم صل علي مـحمد و آل محـمد


7.1. قضيه وجود و يکتايي جواب مسأله مقدار اوليه

قضيه پيکار ما را راهنمايي می‌کند که در چه نقاطي در پي ِ جواب براي يک مسأله مقدار اوليه باشيم. در حقيقت با شرايطي که قضیه‌ي پيکار بر مسأله مقدار اوليه در نظر می‌گیرد ، نه تنها وجود جواب تضمين مي شود بلکه آن جواب را يکتا می‌کند.

قضیه‌ي پيکار : فرض کنيم توابع و مشتشق نسبت به y ، ، درون و روي مستطيل که A و B اعداد مثبتي هستند، پيوسته باشند. با اين شرايط عددي مانند h وجود دارد به طوري که مسأله ي مقدار اوليه ي در بازه‌ی ، يک و تنها يک جواب مانند دارد.

قضیه‌ي پيکار خاطر نشان می‌کند که مسائل مقدار اوليه اي که شرايط اين قضيه را دارند، داراي جواب منحصربه فرد هستند. اين قضيه، جواب ِ مسأله اوليه را به دست نمي دهد ، اما ما را از وجود جواب مطمئن می‌کند و حتي بيان می‌کند که اين تنها جواب ِ ممکن است و جز آن جواب ِ ديگري وجود ندارد. بديهي است مسأله اي که شرايط قضيه را نداشته باشد، ممکن است جواب داشته يا نداشته باشد يا حتي جواب آن ها ممکن است يکتا باشد يا نباشد.

اثبات قضیه‌ي پيکار کاملا ً پيچيده و طولاني است و مناسب براي ابتداي درس معادلات ديفرانسيل نيست. ما از اين قضيه استفاده می‌کنيم و اثبات آن را پس از کسب مهارت در اين درس بيان خواهيم کرد .

اکنون با بيان دو مثال شما را با چگونگي استفاده از قضیه‌ي پيکار آشنا می‌کنيم.

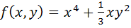
مثال 7: تابع را در نظر بگيريد. اين تابع و مشتقش نسبت به y ، ، در تمام صفحه پيوسته اند. بنابراين در هر مستطيل دلخواه، از جمله مستطيل پيوسته اند. بنابر قضيه پيکار، مسأله ي مقدار اوليه‌ي با شرط y(2)=3 ، در بازه‌ی داراي جواب يکتا است.

مثال 8: تابع و مشتقش نسبت به y ، در تمام صفحه به جز نقاط محور xها پيوسته اند. اگر مستطيل M طوري انتخاب شود که شامل محور x ها نباشد و اضلاع آن نيز روي محور x ها قرار نگيرند، ( مستطيل M دقيقا ً پايين يا دقيقا ً بالاي محور x ها قرار داشته باشد.) قضیه‌ي پيکار، جواب يکتايي براي مسأله مقدار اوليه‌ي پيش بيني می‌کند.

  • بازدید: 30342