تعیین عامل انتگرال ساز : روش سوم
به نام خدا
الهم صل علي محمد و آل محمد
در اين جلسه روشي براي تعيين عامل انتگرال ساز به صورت ِ حاصلضرب تواني از x در تواني از y مي گرديم . يعني در اين حالت عامل انتگرال ساز تابعي دومتغيره از x و y است. اگر
و
اعداد صحيحي باشند ، عامل انتگرال ساز زير مورد نظر است:
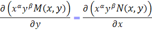
اگر معادله ديفرانسيل
کامل نباشد، فرض مي کنيم داراي عامل انتگرال ساز ِ
باشد . بنابراين با ضرب ِ عامل انتگرال ساز در معادله
خواهيم داشت :

که اين معادله بايد يک معادله ديفرانسيل کامل باشد ، پس بايد در شرايط
صدق کند . يعني بايد داشته باشيم :

که با استفاده از اين رابطه در صورتي که
و
يافت شوند ،
عامل انتگرال ساز معادله است .
مثال زير يکي از تست هايي است که در آزمون کارشناسي ارشد رياضي سال 1381 آمده است.
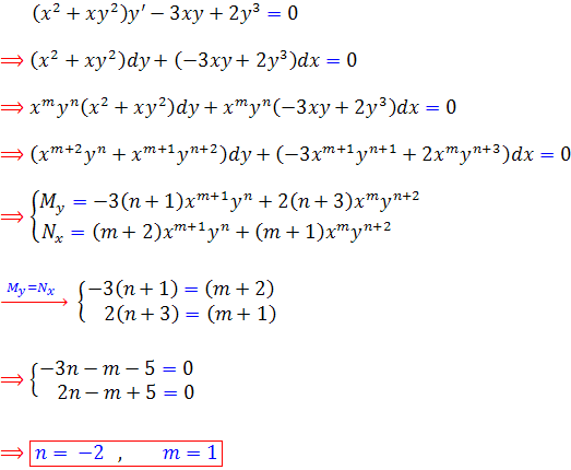
مثال 18.2: به ازاي کدام مقادير m و n ، تابع
مي تواند يک عامل انتگرال ساز براي معادله ديفرانسيل
باشد ؟
1. m = 1 و n = -2 .
2. m = -1 و n = 2 .
3. m = n = 1 .
4. جواب ندارد.
[/tab_item] [tab_item title="حل"]حل: با توجه به اينکه معادله داده شده کامل نيست، فرض کنيم
، عامل انتگرال ساز معادله باشد. بنابراين با ضرب عامل انتگرال ساز در معادله ، يک معادله ي کامل مي سازيم . سپس با بررسي شرط کامل بودن ، m و n را مشخص مي کنيم :

بنابراين گزينه ي 1 پاسخ صحيح خواهد بود.
[/tab_item] [/tabs]با اين مثال بحث در مورد عامل انتگرال ساز را به پايان مي بريم و جستجوي روش هاي بيشتر براي به دست آوردن عامل انتگرال ساز را به شما دانشجويان علاقه مند واگذار مي کنيم.
- بازدید: 32986