معادله دیفرانسیل همگن
به نام خدا
الـهم صل علي مـحمد و آل محـمد
براي اينکه بدانيم معادلات ديفرانسيل همگن چه معادله ايست، ابتدا بايستي توابع همگن را بشناسيم و با برخي از ويژگي هاي آن آشنا شويم. در اين درس ابتدا به معرفي تابع همگن مي پردازيم و سپس معادله همگن را تعريف کرده و به چگونگي حل آن ها مي پردازيم.
تعريف تابع همگن:
تابع
را تابع همگن ِ مرتبه ي n گوييم هرگاه براي هر t، داشته باشيم
البته بايد به خاطر داشته باشيم که تابع f ، در نقاط x و tx ، تعريف شده باشد.
تابع
نمونه اي از تابع همگن مرتبه 2 است زيرا براي هر tx ، t در دامنه ي f است و داريم :

تابع همگن براي توابع چند متغيره نيز تعريف مي شود. چون در اين درس، بيشتر با توابع دو متغيره سر و کار داريم ، تعريف تابع همگن دو متغيره را نيز بيان مي کنيم.
تعريف تابع همگن دو متغيره:
تابع
را تابع همگن ِ مرتبه ي n گوييم هرگاه براي هر t داشته باشيم

به شرط اينکه نقاط
در دامنه ي تابع باشند.
[/tab_item] [tab_item title="ویژگیهای تابع همگن"]
ويژگي هاي تابع همگن:
اگر توابع
و
، همگن مرتبه ي n باشند، آنگاه توابع
همگن مرتبه ي n و تابع
همگن مرتبه ي 2n و تابع
، با شرط
، همگن مرتبه ي صفر است.
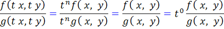
اثبات اين ويژگي ها ساده است و تنها با بکار بردن تعريف به دست مي آيد. براي نمونه نشان مي دهيم که تابع خارج قسمت، همگن مرتبه ي صفر است.

اکنون آمادگي پذيرش مفهوم معادله ديفرانسيل ِ همگن هستيم :
[/tab_item] [tab_item title="معادله دیفرانسیل همگن"]
تعريف معادله ديفرانسيل همگن:
اگر توابع
، در معادله ديفرانسيل مرتبه اول ِ

توابعي همگن ِ همدرجه ، مثلا ً از درجه ي n باشند، آنگاه گوييم معادله
معادله ديفرانسيل همگن مرتبه ي n است.
اين تعريف همسنگ تعريف زير است :
معادله ي
يک معادله ديفرانسيل همگن است اگر تابع
، همگن از درجه ي صفر باشد.
نکته 2.2: هر تابع ثابت، يک تابع همگن از مرتبه ي صفر است ولي عکس آن درست نيست. يعني توابع همگن مرتبه ي صفر ، لزوما ً ثابت نيستند. براي نمونه تابع

همگن مرتبه ي صفر است که ثابت نيست.
[/tab_item] [tab_item title="روش حل معادله همگن"]
چگونگي حل معادله همگن:
معادلات همگن ، با يک تغيير متغير مناسب ، به معادلات جداپذير تبديل مي شوند. پس مي توانستيم اين معادلات را در دسته ي معادلات جداپذير شدني قرار دهيم؛ اما چون معادلات همگن شکل ونام ويژه اي دارند و حتي دسته اي از معادلات همگن شدني هستند، آن ها را جداگانه بررسي مي کنيم.
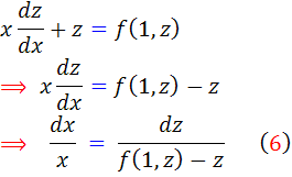
معادله همگن
را در نظر بگيريد. به ياد داريم که تابع
، همگن از مرتبه ي صفر است. پس براي هر t داريم :

اکنون اگر به t مقدار ويژه ي
را نسبت دهيم ، يعني قراردهيم
، معادله ي
به صورت زير تبديل مي شود:

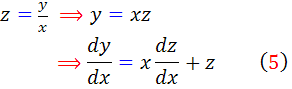
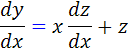
اکنون تغيير متغير
را انتخاب مي کنيم. داريم :
و همچنين

اکنون در رابطه ي
، از رابطه هاي
و
مقدار مي گذاريم :
که معادله ي
، يک معادله جداپذير استاندارد بر حسب x و z است که در قسمت هاي قبل چگونگي حل آن را آموختيم. پس از حل
به جاي z ، مقدار آن يعني
را قرار مي دهيم و معادله حاصل را مرتب مي کنيم.
به مثال زير توجه کنيد.
[/tab_item] [tab_item title="مثال"]مثال 9.2: ابتدا نشان دهيد معادله ي
يک معادله همگن است و سپس جواب عمومي آن را بيابيد.
حل: در اين مثال
و
هر دو ، توابعي همگن مرتبه ي اول هستند، پس معادله داده شده همگن است.
با قرار دادن
داريم:
و y = z x ، پس:
بنابراين:

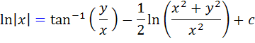
اکنون قرار مي دهيم
:

که اين جواب عمومي معادله داده شده است.
[/tab_item] [/tabs]
- بازدید: 35699