معادله دیفرانسیل همگن شدنی مرتبه اول
به نام خدا
الهم صل علی محمد و آل محمد
دسته اي از معادلات ديفرانسيل به ظاهر همگن نيستند، اما با تغيير متغير هاي مناسب ، مي توان آن ها را به معادلات همگن تبديل نمود.
اين معادلات اين گونه اند:

که در آن
. ( شما با اين شکل از معادلات ، در قسمت معادلات جداشدني آشنا شده ايد. در آنجا
).
دقت داريم که a x + b y + c = 0 و a' x + b' y + c' = 0 ، با شرط
، معادلات خطوط متقاطع در صفحه اند. از همين نکته براي به دست آوردن تغيير متغير استفاده استفاده مي کنيم.
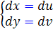
ابتدا محل تقاطع اين دو خط را مي يابيم . اگر نقطه ي
، نقطه ي برخورد دو خط باشد، کافي است تغيير متغير هاي
را انتخاب کنيم. در اين صورت
.
با مثال زير با ادامه ي روش آشنا مي شويم :
[/tab_item] [tab_item title="مثال"]مثال 10.2: معادله ي
را حل کنيد.
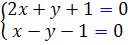
حل: توجه داريم که
و دستگاه
داراي جواب
است. پس قرار مي دهيم:

و داريم:

اکنون اين معادله را به معادله ي همگن تبديل مي کنيم:
که با تغيير متغير
خواهيم داشت:

بنابراين:

که معادله ي
، يک معادله ي جداپذير استاندارد است و چواب عمومي آن اين گونه است:

اکنون مقدار
را قرار مي دهيم:

و اگر قرار دهيم
خواهيم داشت:

که اين جواب عمومي معادله ي داده شده است.
به اين ترتيب فراگرفتيم که چگونه يک معادله به صورت
را به معادله ي همگن تبديل کنيم.
- بازدید: 17391