روش دوم محاسبه جواب عمومی معادله کامل
به نام خدا
الـهم صل علی مـحمد و آل محـمد
در قضيه 2 روش ديگري براي به دست آوردن تابع f ( جواب معادلات ديفرانسيل کامل )ارائه مي دهيم و در مثال 13 با استفده از اين قضيه، به حل يک معادله ديفرانسيل کامل مي پردازيم :
قضيه 2.2: اگر معادله ي
در بازه ي R کامل باشد، آنگاه جواب عمومي آن به صورت زير است:

که
نقطه اي از R است به طوري که براي هر
از R ، خط شکسته ي
که
، در R باشد. شکل زير را ببينيد :

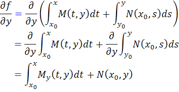
اثبات: اگر قرار باشد تابع داده شده ي f ، جواب معادله ديفرانسيل
باشد، بايستي در تساوي هاي
صدق کند . درستي اين مطلب را تحقيق مي کنيم:
چون

مستقل از x است پس :

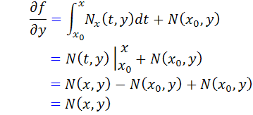
اما

اما مي دانيم
، پس :

و بنابراين
بنابراين تابع f ، معرفي شده در
جواب عمومي معادله کامل
است.
مثال 13.2: جواب عمومي معادله ديفرانسيل
را بيابيد .
حل: در اين مثال
. پس
و معادله کامل است.
مستطيل R را تمام صفحه در نظر مي گيريم و
. بنابراين براي هر
جواب عمومي به صورت زير است :

که مي توان آن را به صورت
نوشت.
- بازدید: 17710