تعریف جایگشت، مثال و تمرین
تعریف جایگشت: فرض كنيم S یک مجموعه دلخواه باشد. یک جایگشت بر روی مجموعه S، تابعی دو سویی از مجموعه S به روش خودش میباشد. جایگشت را در جبر معمولا با نماد $ \sigma $ نشان می دهیم. یعنی داریم:
$\sigma : S \rightarrow S$
$\sigma(s)=w, \:\: s ,w \in S$
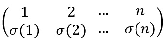
دو سویی بودن این تابع نشان میدهد که هر عضو از مجموعه S، دقیقا به یک عضو از مجموعه S تصویر خواهد شد. در واقع اگر فرض کنید $S=\{ 1 , 2 , ... , n \}$ باشد، در اینصورت یک جایگشت بر روی مجموعه S را میتوان به صورت زیر میتوان نمایش داد:

این جایگشت را بر روی مجموعه $S$ میتوان به صورت خلاصه زیر هم نمایش داد:

نکته ۱. فرض کنید که S مجموعهای باشد که جایگشتهایی مانند $\sigma$ بر روی آن تعریف شده باشد. اگر در نمایش جایگشت $\sigma$ که بر روی مجموعه S تعریف شده است، عناصری از مجموعه S بیان نشود، در اینصورت $\sigma$ این عناصر را به خودشان تصویر خواهد نمود. برای مثال داریم:

همانطور که مشاهده میکنید، در جایگشت بالا مجموعه S شامل اعداد ۱ تا ۷ میباشد. با توجه به این نکته، این جایگشت تمامی اعدادی را که از مجموعه S در بر نمیگیرد به خودشان تصویر میکند. بنابراین داریم:

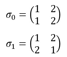
مثال ۱. همه جایگشتهای ایجاد شده بر روی مجموعه $ S= \{1,2\} $ را بدست آورید.
تنها دو جایگشت بر روی مجموعه فوق می توان نوشت. یکی جایگشتی که هر عضو را به خودش می برد که با $ \sigma_0 $ نشان میدهیم و دیگری جایگشتی که یک را به دو و دو را به ۱ مینگارد و با $ \sigma_1 $ نشان میدهیم. پس تمام جایگشتها بر روی مجموعه $S$ به صورت زیر خواهند بود:

نکته: مجموعه همه جایگشتهای یک مجموعه n عضوی را با نماد $ S_n $ نشان میدهیم، پس $S_2 = \{ \sigma_0 , \sigma_1 \}$ خواهد شد. دقت کنید که عنصر $\sigma_0$ را عضو همانی مجموعه $S_2$ گویند و با نماد id نمایش میدهند.
تعداد کل جایگشتها: به سادگی میتوان دید که تعداد کل جایگشتهای ایجاد شده بر روی مجموعه $S= \{ 1 , 2 , \dots , n \}$ به صورت زیر به دست خواهد آمد:
$Card(S_n)=|S_n| =n!$
که در عبارت بالا نماد Card به مفهوم کاردینال یک مجموعه (تعداد اعضای یک مجموعه) است. در واقع این موضوع بیان میکند که تعداد کل جایگشتها بر روی مجموعه n عضوی S برابر است با $1\times 2 \times \dots \times n$.
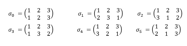
مثال ۲. تمام جایگشتهای ایجاد شده بر روی مجموعه $ S = \{1, 2, 3\} $ را به دست آورید.

پس در نتیجه مجموعه $S_3$ با عناصری به صورت بالا به دست خواهد آمد که در آن $\sigma_0$ همان عضو همانی مجموعه مذکور میباشد.
تمرین ۱. جایگشتهای مجموعه $ S = \{1,2,3,4 \} $ را به دست آورید.
تمرین ۲. جایگشتهای مجموعه $S= \{ 1 , 2 , 3 , 4 , 5\}$ را به دست آورید.
- بازدید: 11914